Betting
Closing Line Value (CLV) Aplicada a las Apuestas Deportivas: Un Indicador Clave para los Apostadores
En el mundo de las apuestas deportivas, la búsqueda de estrategias ganadoras y métodos efectivos de evaluación es constante. Entre los muchos indicadores utilizados por apostadores experimentados, el Closing Line Value (CLV), o valor de la línea de cierre, se destaca por su efectividad para medir la calidad de las predicciones.
Al comparar las cuotas ofrecidas en el momento de la apuesta con las disponibles justo antes de que comience el evento, la CLV permite determinar si un apostador realmente está superando al mercado. Este artículo explora en profundidad qué es la CLV, cómo se calcula, los factores que la influyen y cómo usarla para mejorar el rendimiento en las apuestas deportivas.
2. ¿Qué es el Closing Line Value?
El Closing Line Value (CLV) es una métrica utilizada para evaluar el rendimiento de los apostadores comparando las cuotas en las que se realiza una apuesta con las cuotas de cierre del mercado. Las cuotas de cierre son las últimas cuotas disponibles antes de que comience el evento deportivo, reflejando toda la información y apuestas acumuladas hasta ese momento.
El objetivo principal de la CLV es determinar si un apostador obtiene sistemáticamente mejores cuotas que las del mercado. Una CLV positiva significa que las apuestas se colocan a cuotas más altas que la línea de cierre, lo que sugiere que el apostador tiene una mejor evaluación de las probabilidades que el mercado. Por el contrario, una CLV negativa indica que las cuotas obtenidas son inferiores a las cuotas de cierre, lo que puede ser señal de ineficiencia en la estrategia de apuestas.
En resumen, la CLV es un indicador de la capacidad de un apostador para identificar oportunidades de valor superior, lo cual es esencial para asegurar la rentabilidad a largo plazo.
3. ¿Cómo se calcula el Closing Line Value ?
El cálculo del Closing Line Value (CLV) se basa en una comparación simple entre las cuotas iniciales y las cuotas de cierre. A continuación, se detallan los pasos para realizar este cálculo:
Paso 1: Registrar las cuotas en el momento de la apuesta
Cuando realices una apuesta, anota las cuotas ofrecidas por el corredor de apuestas en ese momento. Por ejemplo, si apuestas a un equipo de fútbol con una cuota de 2.50, toma nota de este valor.
Paso 2: Obtener las cuotas de cierre
Justo antes de que comience el evento deportivo, los corredores de apuestas ajustan las cuotas en función de nueva información, apuestas adicionales y la dinámica del mercado. Estas cuotas finales se llaman cuotas de cierre. Supongamos que la cuota de cierre para tu apuesta anterior sea de 2.30.
Paso 3: Comparar las cuotas
Compara las cuotas a las que colocaste tu apuesta (2.50) con las cuotas de cierre (2.30).
Paso 4: Calcular la CLV
La CLV se puede expresar de varias maneras, pero el método más común consiste en determinar si la cuota inicial es superior o inferior a la cuota de cierre.
- CLV positiva: Si tu cuota inicial es superior a la cuota de cierre (2.50 > 2.30), tienes una CLV positiva.
- CLV negativa: Si tu cuota inicial es inferior a la cuota de cierre (1.80 < 2.00), tienes una CLV negativa.
Fórmula básica de la CLV:

En este caso, con una cuota inicial de 2.50 y una cuota de cierre de 2.30:

Ejemplo de Cálculo
Supongamos que has realizado 100 apuestas, y 60 de ellas tienen una CLV positiva. Esto indicaría un rendimiento superior al mercado, lo que sugiere una estrategia de apuestas efectiva.
Incluir el Margen del Corredor de Apuestas en el Cálculo de la CLV
Sin embargo, algunos matemáticos y analistas de apuestas deportivas sostienen que el cálculo de la Closing Line Value (CLV) no debe limitarse a una simple comparación entre la cuota tomada y la cuota de cierre, sino que también debe tener en cuenta el margen del corredor de apuestas.
Este enfoque más matizado permite evaluar mejor el rendimiento real del apostador en función de la eficiencia del mercado y la influencia del margen (o **overround**) impuesto por el corredor de apuestas.

¿Qué es el Margen del Corredor de Apuestas?
El margen del corredor de apuestas es una comisión incorporada en las cuotas ofrecidas. Garantiza que el corredor de apuestas obtenga una ganancia independientemente del resultado del evento. Este margen es la razón por la que las cuotas ofrecidas siempre son inferiores a las probabilidades reales calculadas para un evento determinado.
Por ejemplo, si dos equipos en un partido de fútbol tienen la misma probabilidad de ganar (50% cada uno), la cuota justa, sin margen, sería de 2.00 para cada equipo. Sin embargo, debido al margen, las cuotas ofrecidas por un corredor de apuestas podrían ser de 1.91 para cada equipo, con el fin de asegurarse una ganancia.
¿Por qué incluir el Margen en el Cálculo de la CLV?
El margen del corredor de apuestas distorsiona la percepción de las cuotas y, por lo tanto, el cálculo bruto de la CLV si no se tiene en cuenta. Sin un ajuste para este margen, un apostador podría concluir que tiene una CLV positiva cuando en realidad está sufriendo los efectos del overround que sesga la evaluación de las cuotas.
¿Cómo integrar el Margen del Corredor de Apuestas en el Cálculo de la CLV?
Para incorporar el margen del corredor de apuestas en el cálculo de la CLV, primero se deben ajustar las cuotas para reflejar las probabilidades reales del evento, sin el margen del corredor de apuestas. Este proceso se llama conversión de cuotas brutas a cuotas "reales".
a) Cálculo del Margen del Corredor de Apuestas
El margen del corredor de apuestas se puede calcular utilizando las cuotas ofrecidas para todos los resultados posibles de un evento. La fórmula para calcular el **overround** es:

Ejemplo de Cálculo del Margen del Corredor de Apuestas
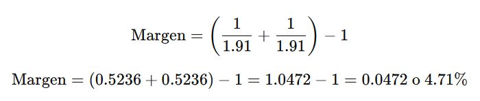
Tomemos un ejemplo en el que las cuotas ofrecidas son idénticas, a 1.91 para cada jugador en un partido de tenis.

En este ejemplo, el margen del corredor de apuestas es del 4.71%.
b) Conversión de Cuotas a Probabilidades Reales
Una vez que tienes el margen, puedes recalcular las cuotas sin margen, también llamadas cuotas reales o justas. La fórmula para calcular las cuotas reales después de eliminar el margen es:

Ejemplo:
Supongamos que apostaste a un equipo con una cuota de 2.50. La cuota de cierre para esta misma apuesta es de 2.30. Sin ajustar para el margen, podrías pensar que tienes una CLV positiva, ya que la cuota tomada (2.50) es superior a la cuota de cierre (2.30).
Sin embargo, si el corredor de apuestas aplica un margen del 5%, la cuota real sin margen podría estar más cerca de 2.40 (en lugar de 2.30). Esto significaría que, aunque tienes una cuota ligeramente superior a la de cierre, no has superado realmente al mercado en términos absolutos, ya que las cuotas sin margen están muy cerca de las que obtuviste.
La Importancia de Incluir el Margen
Incluir el margen permite comprender mejor si el apostador supera realmente la desventaja estructural impuesta por los corredores de apuestas. Los apostadores que logran superar al mercado incluso después de ajustar el margen suelen ser más exitosos a largo plazo, ya que superan no solo las fluctuaciones del mercado, sino también la ventaja incorporada del corredor de apuestas.
Limitaciones y Precauciones
Si bien ajustar el margen mejora la precisión del cálculo de la CLV, no siempre es fácil determinar el margen exacto, especialmente si un evento tiene múltiples resultados posibles o si diferentes corredores de apuestas aplican diferentes márgenes. Además, en mercados menos líquidos o de nicho, los márgenes pueden fluctuar significativamente, lo que complica aún más el cálculo.
Incluir el margen del corredor de apuestas en el cálculo de la Closing Line Value proporciona una evaluación más realista del rendimiento de un apostador. Al ajustar las cuotas para eliminar la influencia del margen, puedes determinar si realmente estás superando al mercado y si tu estrategia es efectiva a largo plazo. Aunque este cálculo es más complejo, es una herramienta esencial para los apostadores serios que buscan optimizar su enfoque y asegurar una rentabilidad duradera.
Ejemplo: CLV en el Partido Newcastle vs Tottenham
El margen del corredor de apuestas para el Draw No Bet en el partido entre Newcastle y Tottenham, con cuotas de 1.92 para Newcastle y 2.01 para Tottenham, es de aproximadamente 1.83%. Esto indica que el corredor de apuestas incluye un margen relativamente bajo para este tipo de apuesta en ese momento.
1) ¿Cuál sería la CLV básica para esta apuesta?
El Closing Line Value (CLV) se calcula comparando la cuota en la que se realizó la apuesta (cuota inicial) con la cuota de cierre (cuota final) para la misma apuesta. En este caso, como las cuotas de cierre son las mismas que las de cuando se realizó la apuesta (1.92 para Newcastle), la CLV básica es 0.
Fórmula básica de la CLV:

Esto significa que la cuota en el momento de la apuesta es la misma que la cuota de cierre, por lo que no hubo cambio de valor en esta apuesta en términos de cuotas. La CLV básica es neutra.
2) ¿Cuál sería la CLV, incluyendo el margen, para esta apuesta?
Para calcular la CLV ajustada por el margen del corredor de apuestas, primero debemos ajustar las cuotas iniciales y de cierre para eliminar el margen del corredor de apuestas. Esto nos dará las cuotas reales o justas, que utilizaremos para comparar el valor obtenido con las cuotas sin margen.
Pasos para Calcular la CLV Ajustada por el Margen:
1. Cálculo de las probabilidades implícitas iniciales y finales:
Las probabilidades implícitas (sin el margen) para las cuotas iniciales y de cierre se calculan eliminando el margen del corredor de apuestas.

Para las cuotas de 1.92 para Newcastle (Draw No Bet) y 2.01 para Tottenham (Draw No Bet), obtenemos las siguientes probabilidades:

La suma de las probabilidades es 0.5208 + 0.4975 = 1.0183, lo que incluye el margen.
2. Eliminar el margen:
Para eliminar el margen, ajustamos las probabilidades dividiéndolas por la suma total de las probabilidades, lo que nos da las probabilidades reales:

3. Calcular las cuotas reales sin el margen:
A continuación, convertimos estas probabilidades en cuotas reales invirtiendo las probabilidades ajustadas:

4. Calcular la CLV ajustada por el margen:
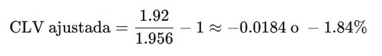
Ahora que tenemos las cuotas reales sin el margen, podemos calcular la CLV ajustada por el margen utilizando la cuota inicial y la cuota real de cierre (sin margen).

Conclusión
1. La CLV básica es del 0%, ya que las cuotas en el momento de la apuesta y al cierre son idénticas.
2. La CLV ajustada por el margen es del -1.84%, lo que significa que, aunque las cuotas brutas son las mismas, después de ajustar por el margen del corredor de apuestas, la apuesta presenta una ligera pérdida de valor debido a la influencia del margen.
4. ¿Qué factores pueden influir en el Closing Line Value?
Varios factores pueden influir en el Closing Line Value en las apuestas deportivas. Comprender estos parámetros permite optimizar las estrategias de apuestas y aumentar las posibilidades de éxito.
Influencers en Redes Sociales con Gran Seguimiento
Los influencers en redes sociales con grandes audiencias pueden afectar las cuotas del mercado al compartir sus pronósticos. Cuando un influencer popular recomienda un equipo o un resultado específico, puede provocar un aumento de apuestas en esa opción, modificando así las cuotas de cierre. Si las cuotas iniciales ofrecidas por el corredor de apuestas se basan en un análisis independiente, sin estar influenciadas por la popularidad del influencer, esto puede crear una CLV positiva.
Tipsters en Mercados de Baja Liquidez
Los mercados de baja liquidez se caracterizan por un bajo volumen de apuestas, lo que significa que incluso pequeñas apuestas pueden causar grandes fluctuaciones en las cuotas. Los tipsters que operan en estos mercados pueden aprovechar esta ineficiencia colocando apuestas antes de que las cuotas se ajusten significativamente debido a las apuestas de otros apostadores, generando así una CLV favorable.
Tipsters en Deportes de Nicho
Los deportes de nicho o ligas menos populares suelen tener mercados menos monitoreados y menos datos disponibles. Los tipsters especializados en estas áreas pueden identificar oportunidades donde las cuotas están mal calculadas por los corredores de apuestas, aumentando así su CLV. Por ejemplo, un tipster experto en balonmano o eSports puede tener una mejor comprensión de las dinámicas específicas de estos deportes, ofreciendo cuotas de apuestas más ventajosas.
Timing de las Apuestas
El momento en que se coloca una apuesta en relación con el cierre de las cuotas juega un papel crucial. Colocar apuestas temprano, antes de que la nueva información o las apuestas masivas ajusten las cuotas, puede permitir obtener cuotas más favorables. Por el contrario, esperar demasiado puede reducir la CLV debido a los ajustes de cuotas basados en los movimientos del mercado.
Información Privilegiada
Los apostadores con acceso a **información privilegiada** o conocimientos no disponibles para el público general pueden anticipar movimientos en las cuotas y colocar apuestas ventajosas antes de que esta información se refleje en las cuotas de cierre.
Conocimiento Profundo del Deporte
Un conocimiento profundo de las sutilezas de un deporte particular permite detectar ineficiencias en las cuotas establecidas por los corredores de apuestas. Los apostadores que comprenden mejor las estrategias de los equipos, el rendimiento individual y otras dinámicas internas pueden identificar oportunidades de valor que otros apostadores o corredores de apuestas aún no han explotado.
5. ¿Cómo superar regularmente el Closing Line Value?
Para superar regularmente el Closing Line Value, es esencial adoptar un enfoque metódico y disciplinado. Aquí algunas estrategias clave:
Investigación y Análisis Profundo
Invierte tiempo en analizar los eventos deportivos, revisando estadísticas, tendencias, el rendimiento de los equipos y jugadores, así como las condiciones del juego. Una comprensión profunda te permite detectar oportunidades donde el mercado no evalúa correctamente las cuotas.
Gestión Rigurosa de tu Capital
Una gestión efectiva del **bankroll** es crucial para sobrevivir a la variabilidad inherente en las apuestas deportivas. Establece unidades de apuesta adecuadas y sigue tu plan de gestión de apuestas para evitar pérdidas significativas que puedan erosionar tu capital.
Apuestas de Valor (Value Betting)
Busca sistemáticamente apuestas en las que consideres que las probabilidades implícitas de las cuotas son inferiores a la probabilidad real del evento. Esto significa identificar situaciones donde las cuotas ofrecidas proporcionan un valor superior a la probabilidad real, aumentando así la CLV.
Timing Óptimo de las Apuestas
Identificar el mejor momento para realizar una apuesta puede mejorar la CLV. Apostar temprano, antes de que la información clave o las apuestas masivas ajusten las cuotas, puede permitirte obtener cuotas más favorables.
Uso de Múltiples Corredores de Apuestas
Compara las cuotas entre diferentes corredores de apuestas para encontrar las mejores ofertas disponibles. Utilizar varias plataformas de apuestas puede maximizar el valor de tus apuestas y mejorar tu CLV al obtener sistemáticamente las cuotas más ventajosas.
Especialización
Concéntrate en deportes, ligas o mercados específicos donde tengas una profunda experiencia. La especialización te permite detectar ineficiencias que otros apostadores o corredores de apuestas pueden pasar por alto, mejorando así tu CLV.
Evaluación Continua del Rendimiento
Sigue tus apuestas y analiza regularmente tu CLV para identificar fortalezas y debilidades en tu estrategia. Ajusta tu enfoque en función de los resultados obtenidos para optimizar continuamente tu rendimiento.
Control Emocional
Evita que las **emociones** influyan en tus decisiones de apuestas. Mantén la objetividad y sigue tu estrategia de manera disciplinada, incluso después de ganar o perder. La gestión de las emociones es esencial para mantener una CLV positiva a largo plazo.
6. ¿Es la Closing Line un Indicador Fiable a Largo Plazo?
La Closing Line Value se considera ampliamente un indicador fiable del rendimiento de un apostador a largo plazo, por varias razones:
Eficiencia del Mercado
Los mercados de apuestas deportivas, especialmente aquellos con alta liquidez, tienden a ser bastante eficientes, lo que significa que las cuotas reflejan toda la información disponible. Si un apostador puede obtener constantemente cuotas superiores a la línea de cierre, esto indica que posee información o análisis superiores al mercado, lo cual es un signo de habilidad.
Independencia de la Varianza
La CLV tiene en cuenta la relación entre las cuotas iniciales y las de cierre, reduciendo así el impacto de las fluctuaciones aleatorias en el rendimiento. Una CLV positiva indica una tendencia a colocar apuestas a cuotas favorables, lo que, estadísticamente, debería traducirse en rentabilidad a largo plazo.
Correlación con las Ganancias
Estudios empíricos muestran que una CLV positiva está fuertemente correlacionada con la rentabilidad a largo plazo de los apostadores. Aquellos que logran sistemáticamente una CLV positiva son más propensos a generar ganancias sostenibles, ya que explotan ineficiencias persistentes en las cuotas.
Resistencia a Factores Externos
La CLV es menos influenciada por factores temporales o específicos de eventos individuales, ya que se agrega en muchas apuestas. Esto proporciona una visión más fiable de la habilidad del apostador, evitando sesgos relacionados con eventos aislados.
Limitaciones y Precauciones
Sin embargo, es importante señalar que la CLV no es una garantía de éxito. Debe utilizarse junto con otras medidas de rendimiento, como el retorno de inversión (ROI), la tasa de acierto en apuestas y un análisis cualitativo de las estrategias de apuestas. Además, la fiabilidad de la CLV depende de la precisión de los datos de cierre y de la coherencia metodológica en su cálculo.
En resumen, aunque la CLV es un indicador poderoso y fiable a largo plazo, debe integrarse en un enfoque global de análisis y gestión de apuestas deportivas.
7. Conclusión
El Closing Line Value es una herramienta valiosa para los apostadores deportivos que buscan evaluar y mejorar su rendimiento de manera objetiva y sistemática. Al comparar las cuotas iniciales con las cuotas de cierre, la CLV ayuda a medir la capacidad de un apostador para identificar oportunidades de valor superior, esenciales para asegurar la rentabilidad a largo plazo.
Para maximizar la CLV, es crucial adoptar un enfoque disciplinado, combinando un análisis profundo, una gestión rigurosa del bankroll y una búsqueda constante de valor en las apuestas. Además, comprender los parámetros que influyen en la CLV, como los influencers en redes sociales, los mercados de baja liquidez y los deportes de nicho, permite explotar mejor las ineficiencias del mercado.
Finalmente, aunque la CLV es un indicador fiable, debe usarse junto con otras medidas de rendimiento para obtener una visión completa de las habilidades en las apuestas. Al integrar la CLV en una estrategia integral y mantenerse disciplinado, los apostadores pueden mejorar sus posibilidades de éxito y lograr una rentabilidad sostenible en las apuestas deportivas.
Miércoles, 11 de septiembre de 2024
En la misma categoría
Betting
Por qué Bet2invest se ha convertido en la referencia en predicciones de partidos de fútbol
Jueves, 20 de noviembre de 2025
La demanda de predicciones de partidos de fútbol confiables nunca ha sido tan alta. Millones de apostadores buscan cada día análisis fiables, datos precisos y recomendaciones profesionales que les permitan tomar mejores decisiones. La época en la que las ...
Ver el artículoBetting
Bet Smarter: B2I's Auto-Betting Endorsed by Pinnacle, explained
Jueves, 13 de noviembre de 2025
Auto-betting, or Copy-Betting, is a major innovation that is transforming the way bettors follow tipsters: your tipsters’ picks are placed automatically in under a second, without any manual action. At Bet2Invest, we’ve developed an ultra-reliable and sec...
Ver el artículoBetting
¿Realmente mejora la ciencia de datos la precisión en las apuestas de fútbol?
Martes, 11 de noviembre de 2025
En los últimos años, la ciencia de datos se ha convertido en una de las mayores revoluciones del deporte moderno. Desde los clubes hasta las casas de apuestas, todo el ecosistema futbolístico se apoya cada vez más en estadísticas avanzadas, algoritmos y m...
Ver el artículoBet2Invest no es una casa de apuestas y no ofrece servicios de apuestas deportivas. Sin embargo, su contenido está relacionado con actividades de apuestas deportivas.
El juego está estrictamente prohibido a los menores de edad. Juega de manera responsable — el juego excesivo puede causar pérdidas económicas, deudas o adicción.